?????¥åº·ç®¡ç??å¸???è©þ@??»¥ä¸?ºº?????¥è???????对ä?äº?????????ä»???è¨?ï¼????þA?ä¸?æ¸?æ¥??????¸ªäººå??»¥?¥è????ä¸?äº?解个人æ?¥è??å¿?é¡»å??ä»?ä¹?å·¥ä????ä¸?边就è·?????讨è?ä¸?ä¸??¥åº·ç®¡ç??å¸???è©þ@??»¥ä¸?ºº?????¥è???§ã????å¾?对æ?¨æ??ä¸?å®??????©ã??
?????¥åº·ç®¡ç??å¸???è©þ@??»¥ä¸?ºº?????¥è?????è·??????¥ä?ä¸??§ã??
?????¥åº·ç®¡ç??å¸???è©þ@??»¥ä¸?ºº?????¥è?????
????ä¾??????½å????人æ??ç½?????åº?以ä?ï¼?
?????¥è???¶é?´ï??½å??????¥åº·å§?人æ??èµ?æº????¡é¡¹??¸å¿?äº?æ¯?ä¸?å¹?-äº???????¨å¹´åºþ@?ä½???ä¸????½é?´å?å·¥ä???¤º??å®????¥è???¶é?´ä»¥æ¯??¹å?·æ???²è??è¯?????为æ??????
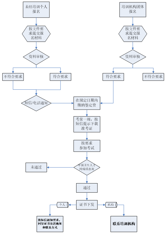
?????¥å??æµ?ç¨?ï¼??¡å??ä¹???å²?ä½??½å?å²?ä½?è§???ä¸???è¦?æ±??¥è???????????????¹æ??????å¸?å²?ä½???ä¸????½é?´å??·ä???导ä¸å¿?(ä¸?ç§?ldquo;??ä¸??¡±)å¼?å±??¥è????????è©þ:????ä¸???????ä¸?å²?ä½?????????年度ä¸?ä¸??¹å?·ä?è½???è©þ:??????å¸?ä¸??对è?????¥è??èµ?è´¨å?å±??¸å??ï¼?对å??ä¹??¥è????????????ç»?ä¸??¹æ?????²è??è¯??ºè?½ç???ç³»ç?æ±??¥è?³å?½å??????¥åº·å§?人æ??èµ?æº????¡é¡¹??¸å¿?(ä¸?ç§?ldquo;ä¼?ç§?人æ??ä¸??¡±)??ä»?å¹ ?????¥åº·?¶é??è¡?ä¸?????å¸?å²?ä½???ä¸????½é?´å??·ä???导ä¸å¿???ç³»ç?µè???
????äº?è§£å?¥åº·ç®¡ç??å¸???è©þ@??»¥ä¸?ºº?????¥è?????ºæ??¿¡????ï¼?讨è?ä¸?ä¸??¥å???¡ä»¶???ä½?????
????
